原神防禦力怎麽計算?遊戲中,很多玩家都會好奇應該怎麽計算自己的防禦吧,下面為大家帶來了原神防禦力計算公式解析,需要的玩家快來看看吧。
原神防禦力計算公式解析
防禦減傷公式:
減傷百分比=防禦力/(防禦力+C)
熟悉遊戲熟悉計算的朋友肯定會說:果然如此。是的這個算式過於經典了。為什麽好呢。這樣看是不容易看的,因為隨著減傷百分比越高,減1%傷害效果越來越好。但同時打到減1%所需要的防禦值也越來越高。
所以我們要逆向思維一下,算一個等價生命值。如果防禦減傷50%那麽等效生命值就是200%。明顯的,等效生命值=生命值/(1-減傷百分比)=生命*(1+防禦力/C)。
發現了麽,當使用這個減傷公式以後,每加1點防禦力,等效增加 1/C 這個比例的生命。防禦對生命的加成效果變成線性。也很方便與生命值加成進行比較了。
那麽公式裡面C是多少呢?C=L*5+500 L為怪物等級。
如果我們要堆防禦,要怎麽堆呢?首先實際生存能力其實是前文的等效生命值,防禦對他的加成也是線性的,從而很容易和生命比較。但是,原神這個遊戲屬於血槽短奶量高的遊戲。即滿血量也挨不了幾下,同時很容易直接奶滿。從而防禦屬性大大超越生命。防禦百分比提升了單位血量的價值。在血量保證不暴斃的情況下,全堆防。
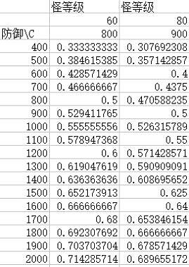
下圖是對60和80級怪物時各個檔位防禦的減傷:

可以發現,說起來容易防禦堆起來其實很難的。百分比加傷本來就算一次線性衰減,這些防禦再作用到有效生命,又要吃一次線性衰減。從而即使防禦堆得很高也並不能隨意打挨打,400堆到1500才能將將半傷。但是加成了300%的防禦。
其實這些就是數值分析圖個樂,沒啥用。知道防禦對多了也肉不了多少就夠了。除了女僕誰去堆防禦啊,女僕堆也不是為了肉。
再講講等級壓制。
並沒有跑題。剛剛我們研究的變量是自己的防禦。如果防禦不變呢,怪物等級會影響C的值。同樣的,敵人的防禦減傷公式也同樣是防禦力/(防禦力+C)。敵人防禦力就是L*5+500。C呢,明顯就是I*5+500,I是自身等級。你沒看錯升級可以加傷哦。
下圖是對40和80級怪物時各個檔位防禦的減傷:

可以看到有相當的減傷比例。如果40級輔助去打80怪,減傷比例為(0.5-0.4375)/0.5=0.1225約12%。20級去打減傷20%。所以如果想用輔助打點傷害。要麽再稍微練練,畢竟等級低成本很便宜。要麽打元素,不吃防禦。至於主c等級還是要拉滿,雖然加成不高,但是這是一個單獨的乘區,其他的乘區都已經打的很高了,就顯得這一點很重要。
以上就是原神防禦力計算公式解析的全部內容了,希望對大家有所幫助。
來源:遊俠網