結論
飛雷之弦振(下文簡稱飛雷)對於公子(霄宮類似)來說,如果僅打普攻,傷害和滿精弓藏差不多,相同雙暴面板情況下,如果僅用技能,傷害持平天空之翼,總的來說,飛雷相當於融合了弓藏與天空之翼的長處,秒傷期望(下文簡稱DPS)能提高約10%~20%
飛雷與天空
理論
不觸發普攻特效
這部分就是看武器面板的設計,飛雷的面板設計與護摩一樣,可以說是幾乎完美的白值與副詞條(僅次於面板怪物綠劍)了,一向靠面板吃飯的天空之翼在這個單面板裡甚至有些吃虧,為了讓這個結論更具有說服力,我們上資料,來看兩者面板對比:

在低精煉的情況下天空之翼比飛雷要高66的基礎攻擊,而飛雷要比天空之翼多出2%的雙暴收益以及20的攻擊力加成,我們略去雙暴收益的差距,但看這66的白字與20%攻擊力加成,以90級公子為例公子帶飛雷基礎攻擊為910,帶天空基礎攻擊為976,若要使二者加成相同,則計算式如下

帶天空的白字高的公子至少需要276%的可怖的攻擊力加成才能持平這20%攻擊的差距,精煉程度越高差距越大。不過由於公子一般帶攻擊沙漏,並且在萬達國際隊班尼特的加持下,這部分面板的差距幾乎沒有,從下面的實戰我們也可以看出,差距很小。
觸發普攻特效
我們先看飛雷特效

而天空的特效沒有增傷乘區的加成,
我們取滿特效飛雷,二水二角鬥公子,計算普攻傷害差距,相同面板時:
飛雷傷害為天空的

實戰
飛雷面板攻暴:2200 70 210 天空面板攻暴:2150 72 205
大招
(理論上基本沒有差距,此部分差距為面板差距):

可以看到基本沒有差距
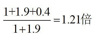
普攻

可以看到大約為25.3%的差距,與計算的1.21倍差距3%,由於面板問題,實際差距應在3%以內,為實驗允許誤差。
飛雷與滿精弓藏
理論
由於弓藏本身的面板問題,主要看面板的技能傷害,會與飛雷差很多,所以這部分我們不看技能,只看兩者觸發特效後普攻的期望對比,下圖為弓藏特效,比一精煉的飛雷要多40%的增傷乘區系數

但是由於面板問題,會比飛雷少66的暴傷,暴傷區間的稀釋比增傷區間略多,所以二者傷害基本持平。我們來看實戰
實戰
弓藏面板攻暴:2284 76 124 天空面板攻暴:2327 76 190
普攻

可以看到差距很小
大招

差距為30%
總結
天空與飛雷差距為增傷乘區的差距,會被各種增傷拐稀釋(莫娜、萬葉、追憶),而弓藏與飛雷為暴傷乘區的差距,後者無法降低差距,反而會隨著練度提高差距增大(因為原神目前無暴傷拐,不過如果出現暴傷拐,那麼弓藏這一類增傷乘區的武器將起飛)
抽取建議
有天空,不建議抽取,放在高練度隊伍裡差距會縮小,而公子如果打重擊的話基本無差距,沒有的建議抽一把,僅面板就是目前最強弓箭。
來源:米遊社論壇
作者:68707469《原神》飛雷之弦振與天空之翼傷害對比