五.關於防禦公式的補充
測試與公式:
這裡直接引用結論,原帖應該是搞錯了減傷系數和傷害系數的區別,字面理解減傷系數應該是 “減免傷害的百分比” ,所以這裡經過了修正
面板傷害的減傷系數 = sqrt(防禦)*(sqrt(防禦))/2000
實際傷害的減傷系數 = sqrt(防禦)/100+min{3*防禦/10000, 0.3}
受到的傷害 = 原始傷害*(1-減傷系數)
如果有筋骨堅實天賦,則最終傷害再乘以0.75
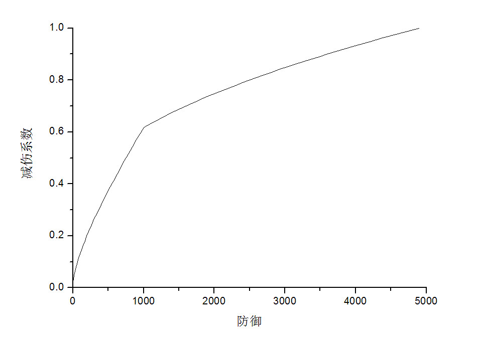
從公式中可以直觀的看出來,1000的斷點是由min{3*防禦/10000, 0.3}這個函數得到的
我們將公式寫成分段函數的形式:
實際傷害的減傷系數 = sqrt(防禦)/100+3*防禦/10000 ,當防禦<1000;
= sqrt(防禦)/100+0.3,當防禦>1000
則其減傷曲線如下圖:

我們再計算相應的防禦對EHP系數的公式
EHP系數 = 1/(1-減傷百分比)
= 1/(1-sqrt(防禦)/100-3*防禦/10000),當防禦<1000;
= 1/(1-sqrt(防禦)/100-0.3,當防禦>1000),當防禦大於等於1000小於等於4900
對其求導,得到一階導數,即單位防禦的收益系數:
單位防禦的收益系數 = (1/(200*sqrt(防禦))+0.0003)/(1-sqrt(防禦)/100-3*防禦/10000)^2,當防禦<1000;
= 1/(200*sqrt(防禦)*(0.7-sqrt(防禦)/100),當防禦大於等於1000小於4900
畫出其函數圖象:

這個圖象的含義可以理解為,當防禦增加一點,相應的增加的HP系數。例如當生命值為1000,防禦等於500時,增加一點防禦相當於增加1000*0.001334=1.334生命。
從圖像中可以看到單位防禦的收益在(0,1000)上先降低後增加,在1000點處突然下降,在(1000,4900)上單調遞增。單位防禦收益的最低點在防禦=168的時候,收益系數為0.00102。防禦等於1000的時候,單位防禦的收益系數為0.00107。
從二的討論中我們可以看出,又是分段函數,又是開根號,吃力不討好,單位防禦的實際波動比較大,還是用防禦收益線性函數比較好。
補充一張圖,當防禦數值在0-3000時單位防禦的收益圖
去掉了3000防禦以上的部分使得資料更加清晰

更多相關資訊請關注:專題
來源:遊俠網